英国上市365在压力调控黑磷双曲等离激元研究方面取得重要进展
来源: 供稿: 摄影: 审核:陈珂、李翔 作者: 发布时间:2026-02-11 浏览量:

近日,英国上市365姚裕贵院士团队王冲副教授、李翔教授与复旦大学晏湖根教授团队合作,在压力调控黑磷双曲等离激元研究方面取得重要进展。研究团队利用金刚石对顶砧(Diamond Anvil Cell, DAC)高压技术与偏振分辨显微红外消光光谱测量方法,首次在实验上观测到黑磷(Black Phosphorus,BP)薄膜中压力连续可调谐的面内双曲等离激元(in-plane hyperbolic plasmons)。研究发现,随着压力升高,BP薄膜中各向异性等离激元共振峰可实现从远红外到中红外的宽频调谐,并伴随吸收强度和面内各向异性的显著变化。在低压 A17 相中,BP面内双曲区间随压力增加持续蓝移;而当BP跨入高压A7相后,由于面内各向异性显著减弱,双曲区间发生“坍塌”。此外,在结构相变附近,等离激元特征参数出现异常变化,揭示了相变过程中的相共存行为;而低压区间低频等离激元共振峰的突然出现,则为识别Lifshitz转变提供了一种灵敏的光学指纹。相关成果以“Pressure-tunable hyperbolic plasmons in black phosphorus films”为题发表在Physical Review Letters 136, 066902 (2026)。
等离激元是载流子集体振荡与电磁场耦合形成的电磁激发,具有深亚波长场束缚和强光-物质相互作用等特点,在红外探测、热辐射调控与传感等领域具有重要应用潜力。近年来,范德瓦尔斯材料中涌现出的天然双曲极化激元为实现强各向异性光场调控提供了全新平台。其中,面内双曲响应能够在二维平面内实现高度定向传播与极限电磁场束缚,因而受到广泛关注。黑磷因其显著的面内各向异性电子结构,早在理论上即被预言可支持天然面内双曲等离激元,是研究该类物理现象的代表性候选材料。然而,由于其本征载流子浓度较低,黑磷等离激元在实验上难以被直接观测。为突破这一瓶颈,研究团队引入压力这一“干净”的调控手段,通过调节晶格常数与层间耦合,驱动能带重构并诱导结构相变,在不引入外源掺杂和额外无序的前提下,实现了对电子结构与各向异性的连续调控。

图1:压力条件下黑磷薄膜的红外吸收光谱
在实验中,研究团队将机械剥离获得的BP薄膜装载至DAC中,通过红宝石荧光峰位移标定压力,并选用KBr或硅油作为传压介质(图1)。偏振分辨显微红外消光光谱结果显示,随着压力升高,样品的红外吸收边逐渐消失,低频自由载流子Drude响应随之显现,表明体系发生由半导体向半金属的电子结构重构;在结构相变临界区域,整体消光强度出现明显增强,并伴随样品透射光学显微图像的显著变化。

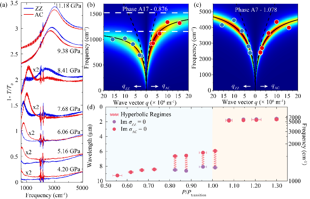
图2:压力调控黑磷双曲等离激元色散
为在远场条件下激发并追踪等离激元共振响应,研究团队在BP薄膜中制备了沿armchair(AC)与zigzag(ZZ)晶轴取向一致的方形阵列结构。图2显示,在低压A17相中, AC与ZZ方向的等离激元共振峰位存在明显差异,体现出强烈的面内各向异性,并随压力升高连续蓝移;跨越A17-A7结构相变后,共振频率出现突跃,同时两方向峰位逐渐趋于一致,表明进入A7相后面内各向异性显著减弱。通过调控等离激元波矢,研究团队将共振频率的可调范围显著拓展,实现了从214 cm-1到4751 cm-1的宽频调谐,并伴随吸收强度及线二色性在典型频率处的明显变化。为揭示双曲响应的形成与演化机制,团队基于等离激元色散,以电导率虚部异号(ImσZZ · ImσAC < 0)作为双曲判据,确定了压力调控下的双曲区间。结果表明,BP等离激元的面内双曲区间在A17相内随压力持续蓝移,而进入A7相后双曲区间发生坍塌。
与此同时,在结构相变临界区域,有效质量比、等离激元线宽以及介电常数均出现同步异常,表明相变点附近存在相共存现象与微观无序增强(图3)。远红外测量结果进一步显示,在约1.49 GPa处低频等离激元共振峰突然出现,且随着压力升高持续蓝移并增强,其共振频率与积分强度在该压力以上同步上升,与Lifshitz转变所对应的电子结构重构行为一致(图3)。

图3:等离激元探测压力诱导的黑磷结构相变与Lifshitz转变
综上所述,本工作构建了DAC高压环境与偏振分辨红外显微光谱相结合的实验体系,首次在黑磷薄膜中实现了面内双曲等离激元的实验观测与调控,并展示了等离激元作为光学探针对压力诱导结构相变及电子结构重构的高灵敏度响应,为发展可重构红外纳米光子器件提供了新的调控维度与物理依据。
英国上市365姚裕贵院士及其团队成员王冲副教授、李翔教授与复旦大学晏湖根教授为论文通讯作者,博士生刘雨微为第一作者。该研究获得国家重点研发计划、国家自然科学基金、北京市自然科学基金以及上海市自然科学基金等项目资助,部分实验工作依托英国365集团微纳加工平台完成。
